Service-Teil: Ausgewählte Angaben zur Struktur des Kreises Ahrweiler
Zusammengestellt von Margret Schultz
| Fläche: Bevölkerung: Bevölkerungsdichte: Beschäftigte: |
786,99 km2 130.712 165 EW/km2 27.459 |
Quelle: Statistisches Landesamt Rheinland-Pfalz (Stand 2005)
Prognose Einwohnerentwicklung bis 2020

Quelle: Bundesamt für Bauwesen und Raumordnung
Bevölkerung und Fläche nach Städten, Gemeinden und Verbandsgemeinden des Kreises Ahrweiler (Stand 31.12.2005)

Quelle: Statistisches Landesamt Rheinland-Pfalz
Bevölkerung im Kreis Ahrweiler nach Altersgruppen (Stand 31.12.2004)

Quelle: Statistisches Landesamt Rheinland-Pfalz
Ausländeranteil an der Gesamtbevölkerung im Kreis Ahrweiler in % (Stand 31.12.2004)

Quelle: Statistisches Landesamt Rheinland-Pfalz
Raumnutzung im Kreis Ahrweiler im Vergleich zum Land Rheinland-Pfalz in % (Stand 31.12.2004)

Quelle: Statistisches Landesamt Rheinland-Pfalz
Sozialversicherungspflichtig Beschäftigte im Kreis Ahrweiler (Stand 30.06.2005)

Quelle: Statistisches Landesamt Rheinland-Pfalz
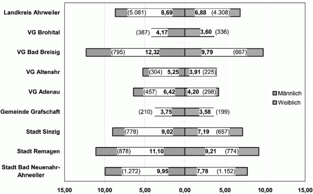
Arbeitslosenquote im Landkreis
Ahrweiler, in Rheinland-Pfalz und in der Bundesrepublik Deutschland
in % (Stand 31.05.2006)

Quelle: Statistisches Landesamt Rheinland-Pfalz/Bundesagentur für Arbeit